Workflows and Workflow Builder
Essential knowledge
Author:
Fluent Commerce
Changed on:
9 July 2024
Overview
Workflows are accessed through the Workflow Builder through a Web App like Fluent Store. Here, users can view, modify and create workflows and user actions.Key points
- A Workflow defines the logical flow or lifecycle of a top-level entity within a domain
- Workflows consist of Rules that represent a single building block for logic and have a single purpose.
- Rules join together to form Rulesets that execute a specific piece of business logic (e.g., a particular task).
- Workflows are accessed through the Workflow Builder via a Web App Like Fluent OMS.
- Home Delivery (HD) Workflow phases, entities and states
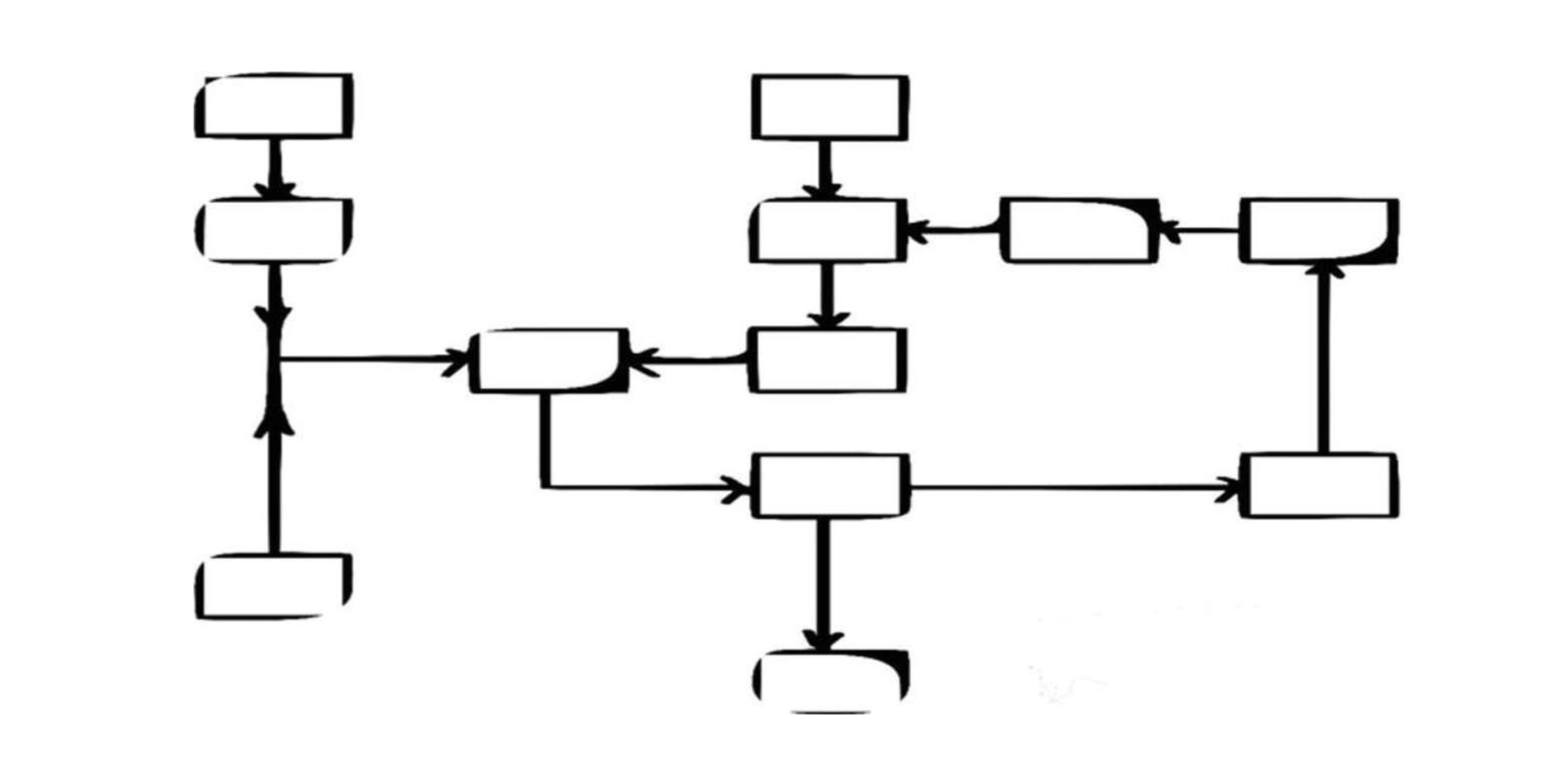
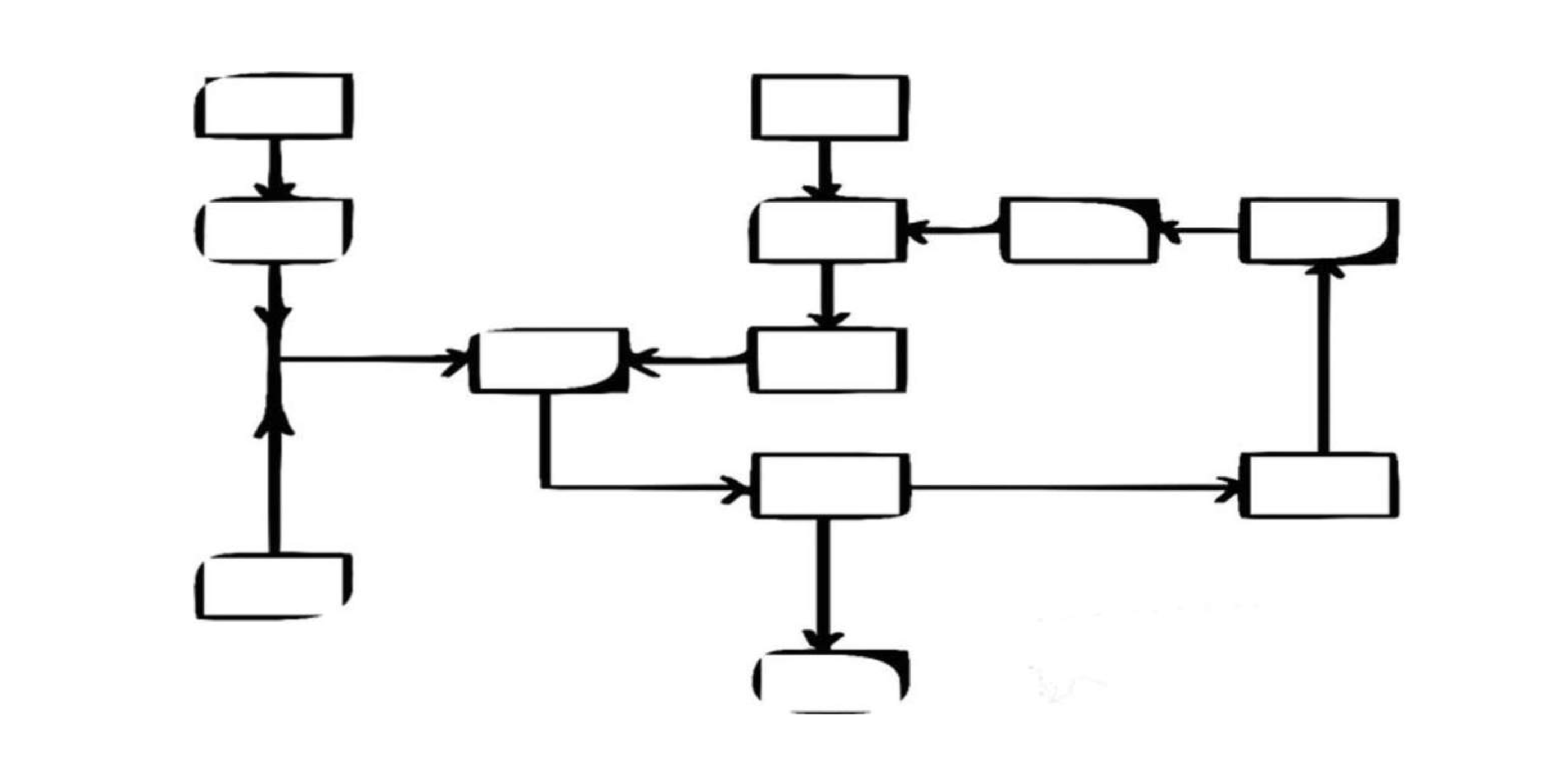
Relationship between Workflows, Rules and Rulesets
Workflow
A Workflow defines the logical flow or lifecycle of a top-level entity within a domain. For example, the Order Management domain has a top-level entity of Order. An Order also has sub-entities (e.g.`OrderItem`) that have specific relevance to the Order at various stages within its lifecycle, which typically involves a number of stages in which the entity moves. 
Rules
Workflows consist of Rules that represent a single building block for logic and have a single purpose. Rules may produce a single Action or send an Event and can be easily configured and reused.Examples:- Send an email
- Notify a Warehouse Management System (WMS) of a fulfilment request.
- Updating data on an Entity.
Rulesets
To better understand this concept, think of Lego bricks that can be connected in various ways to form Rulesets. You can create different outcomes by arranging the Lego bricks in different configurations. A single Lego block is not useful on its own, but when combined with others, it can execute a specific piece of logic, which can be used to perform a particular task within a business process.
Home Delivery (HD) Workflow
Home Delivery Workflow is one such example of a default workflow provided by Fluent Commerce. Note that each entity type has its own workflow. Each workflow has phases the entity will flow through, from beginning to completion. For instance, a default order workflow usually includes four phases:- Booking
- Fulfilment
- Delivery
- Done/Complete.
- Booked, Awaiting Payment, Check Fraud
- Picking, Packing, Fulfilled
- Awaiting Delivery, Delivered
- Complete, Cancel.
