Authors:
Matthew Hesford, Anita Gu, Cille Schliebitz
Changed on:
30 Jan 2025
Consists of the UX Framework, Workflow Framework, and Connect Frameworks. All of these are capable of configuration and extension — we'll discuss these two concepts later in this lesson. But before we dive in, let's first define what a Workflow is.Workflow ConceptsA Workflow defines the logical flow or lifecycle of a top-level entity within a domain. For example, the Order Management domain has a top-level entity of Order. An Order also has sub-entities (e.g. OrderItem) that have specific relevance to the Order at various stages within its lifecycle, which typically involves a number of stages in which the entity moves.
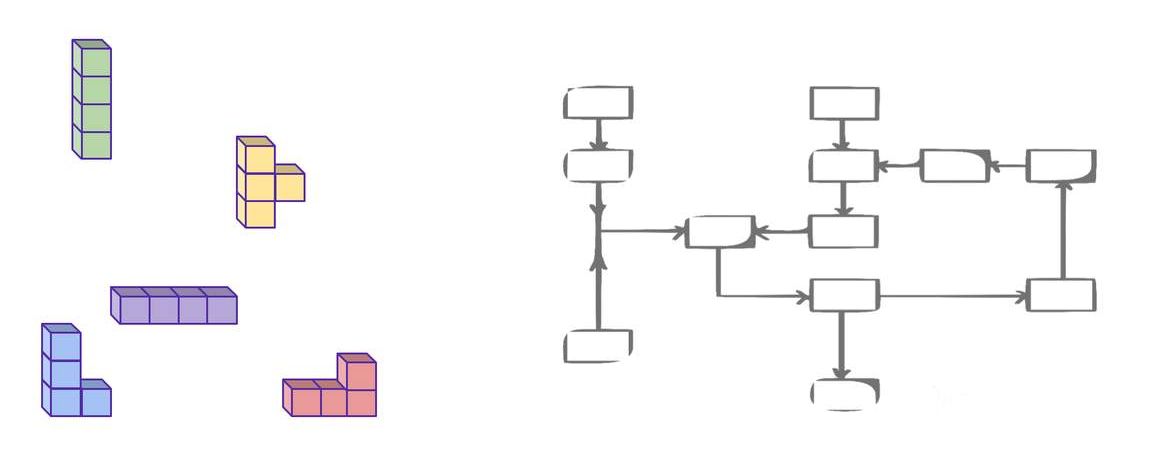
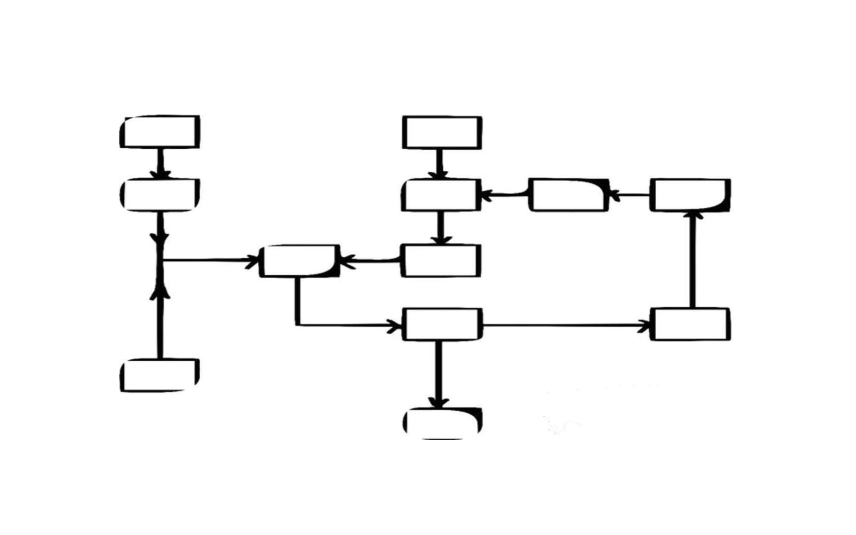
Workflows consist of Rules which represent a single building block for logic and have a single purpose. Rules may produce a single Action or send an Event and can be easily configured and reused.Examples:
To better understand this concept, think of Lego bricks that can be connected in various ways to form Rulesets. You can create different outcomes by arranging the Lego bricks in different configurations. A single Lego block is not useful on its own, but when combined with others, it can execute a specific piece of logic, which can be used to perform a particular task within a business process.Workflows are accessed through the Workflow Builder through a Fluent Web App. Here, users can view, modify and create workflows and user actions.An example of a Home Delivery Workflow is presented below. Note that each entity type has its own workflow. Each workflow has phases the entity will flow through, from beginning to completion. For instance, a default order workflow usually includes four phases: Booking, Fulfillment, Delivery, and Done/Complete.
Each phase can comprise of one or more statuses. For instance:
It's possible to configure and extend Fluent Order Management workflows, user interfaces and system integrations. 
For a deeper understanding of the UX Framework and Component SDKs, refer to the courses specific to your pathway: